반응형
Given the root of a binary tree, return the postorder traversal of its nodes' values.
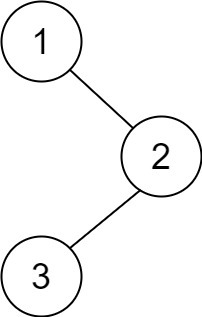
Example 1:

Input: root = [1,null,2,3]
Output: [3,2,1]
Example 2:
Input: root = []
Output: []
Example 3:
Input: root = [1]
Output: [1]
Constraints:
- The number of the nodes in the tree is in the range [0, 100].
- -100 <= Node.val <= 100
풀이(Kotlin)
- 재귀를통해 후위순회(left -> right -> root)를 풀이하였다.
/**
* Example:
* var ti = TreeNode(5)
* var v = ti.`val`
* Definition for a binary tree node.
* class TreeNode(var `val`: Int) {
* var left: TreeNode? = null
* var right: TreeNode? = null
* }
*/
class Solution {
fun postorderTraversal(root: TreeNode?): List<Int> {
val list = ArrayList<Int>()
postorder(root, list)
return list
}
fun postorder(node: TreeNode?, list: MutableList<Int>) {
if (node == null) return
postorder(node.left, list)
postorder(node.right, list)
list.add(node.`val`)
}
}반응형
'Computer > Algorithm' 카테고리의 다른 글
| LeetCode - Plus One (0) | 2022.10.01 |
|---|---|
| LeetCode - Pascal's Triangle (1) | 2022.10.01 |
| LeetCode - Binary Tree Preorder Traversal (0) | 2022.09.30 |
| LeetCode - Binary Tree Inorder Traversal (0) | 2022.09.30 |
| LeetCode - Longest Common Prefix (0) | 2022.09.30 |
댓글